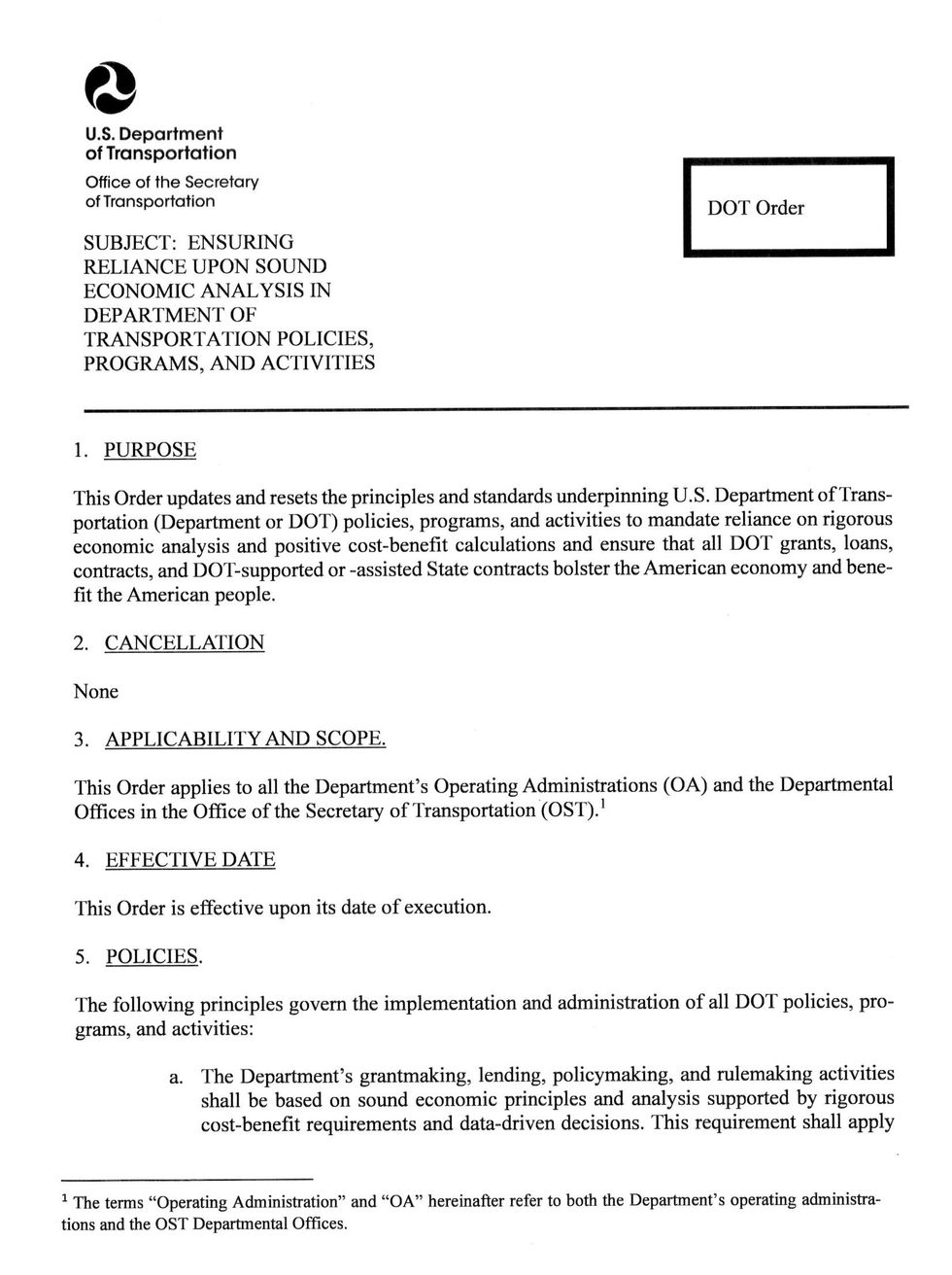
A new memo from Transportation Secretary Sean Duffy about which communities should be given "preference" for funding has a disturbing focus on "marriage and birth rates."
The directive introduces sweeping changes to federal funding priorities, emphasizing projects that enhance transportation for “families with young children.” The four-page memo applies to all department-backed grants, loans, and contracts, even affecting existing agreements.
Duffy, recently confirmed to the role, framed the memo as an economic growth initiative while downplaying its broader implications. The directive aligns with President Donald Trump’s stance against diversity, equity, and inclusion programs and introduces new conditions for funding recipients.
A congressional aide who works on transportation policy and spoke on condition of anonymity said he has "never seen a memo like this before," adding:
“Considering fertility rates when prioritizing federal grants? We obviously have no idea what the full impact of that will be. It’s absolutely creepy. It’s a little ‘Chinese government.’"
"[The Trump administration] would hate that comparison, but I don’t know where else I’ve seen a policy of ‘we need to incentivize baby-making.’”
You can see the memo below.



The memo inspired comparisons to The Handmaid's Tale, a novel by Canadian author Margaret Atwood that was written at the height of the Reagan administration and satirized political, social, and religious trends of the 1980s.
The book, published in 1985, was inspired at least in part by the Islamic Revolution in Iran in 1979.
The overthrow of the Shah's rule saw a theocracy established that subjugated women in a strict patriarchal society, gutted female agency and individuality in addition to reproductive rights, and limited all the other ways women can assert their independence. It was then famously turned into a critically acclaimed series on Hulu at the beginning of Trump's first presidency.
Many have sounded the alarm.
Duffy isn’t the only official in the Trump administration emphasizing family growth.
Vice President J.D. Vance echoed similar sentiments, stating in a recent speech that he wants Americans to have more babies. This focus on boosting the country’s birth rate aligns with broader policy shifts that prioritize families in federal funding decisions.
Vance said the U.S. needs “a culture that celebrates life at all stages, one that recognizes and truly believes that the benchmark of national success is not our GDP number or our stock market, but whether people feel that they can raise thriving and healthy families in our country."
Separately, billionaire Elon Musk courted controversy in 2023 when he appeared at the far-right Atreju Festival in Rome. The event was hosted by the Brothers of Italy party of Italian Prime Minister Giorgia Meloni, who was present at Trump's inauguration.
Musk used his appearance as an opportunity to push the great replacement theory, a conspiracy theory that claims white European populations and their descendants are being demographically and culturally replaced with non-Europeans.




























replying to @elonmusk/X
replying to @elonmusk/X
replying to @elonmusk/X
replying to @elonmusk/X
Barry Manilow/Facebook
Barry Manilow/Facebook
Barry Manilow/Facebook
Barry Manilow/Facebook
Barry Manilow/Facebook
Barry Manilow/Facebook
Barry Manilow/Facebook
Barry Manilow/Facebook
Barry Manilow/Facebook
Barry Manilow/Facebook
Barry Manilow/Facebook