The sound of knuckles cracking is unmistakable, and the origin of the popping noise has been subject to intense speculation for decades. A recent study released Nature's Journal of Scientific Reports may finally lead scientists to an explanation.
Published on March 28, the study examined the reason knuckles generate the popping sound that drives some people crazy when they hear it. Scientists theorized that bubbles generated in the metacarpophalangeal (MCP) joint, located between the bones of the finger, may be the source of 'that popping sound."
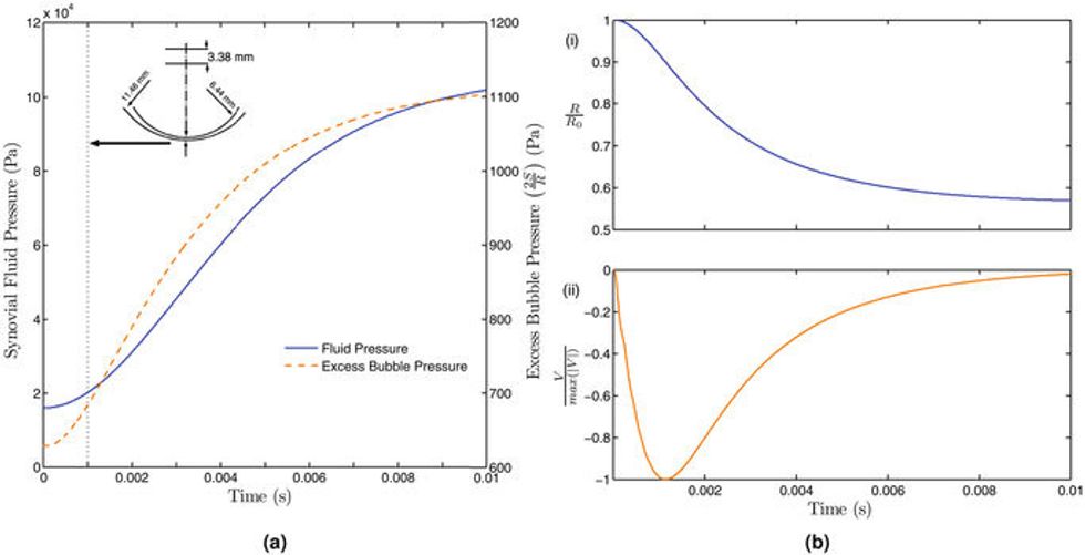
"We model the sounds accompanying knuckle cracking by resolving the acoustic signature of cavitation bubbles inside the joint during articular release. For developing the model, the joint is assumed to be axisymmetric, thus simplifying the solution of the governing equations. The governing equations themselves describe three important phenomena: (1) the generation of transient low pressures during tribonucleation, (2) the dynamics of a newly formed cavitation bubble in the time-varying ambient pressure field, and (3) the simultaneous acoustic pressure field generated by the bubble."
"The acoustic signature of knuckle cracking from three subjects in their early twenties were recorded at Ecole Polytechnique's Acoustics Laboratory. The sounds were recorded in an anechoic chamber using a AV-JEFE TCM 160 microphone which was connected to a laptop computer running Audacity sampling the input data at 44 kHz. The microphones were positioned less than 0.01 meters away from the MCP joint. All experiments were carried out in accordance with relevant guidelines and regulations approved by the IRB. Informed consent was obtained from all the subjects."
In their study, researchers at the École Polytechnique in France demonstrated that bubbles of synovial fluid expand and contract when external pressure is applied to the finger joints. The tiny separation of the joints, known as cavitation, causes bubbles of carbon dioxide gas to form inside the synovial fluid. The 'popping sound' results from the changing pressures of CO2 bubbles within the fluid. The mathematics behind it are pretty complex, but are based on Newtonian laws of fluid dynamics.
"For a cracking joint, the eccentricity e becomes a function of time, thus making ε and hence p functions of time. We postulate that in going from rest to the final velocity observed in experiments, the joint undergoes a constant acceleration."
The intensity of the cracking noise depends on how much pressure is applied to the joint, as well as the ambient pressure surrounding the joint. "You don't need full bubble collapse for the sound to be generated," said Dr. Barakat, co-author of the study. "All you need is partial collapse." The results of his experiment showed that it was not the popping of bubbles, but rather the expansion and compression of bubbles within the synovial fluid that creates the sound of cracking knuckles. Barakat also said that the bubble only need to contract by 30-40 percent, and not fully collapse, to generate the knuckle crackling sound.

It should be noted, however, that the study presumed the synovial fluid were present at the time of the experiment, and did not probe how or why those bubbles formed in the first place, nor whether they are consistently present. Further experiments could aid researchers in explaining why some people are able to crack their knuckles, while others are not.
"To develop a physiologically relevant model for the sounds accompanying knuckle cracking, it is important to understand the anatomy of the MCP joint and the properties of the synovial fluid in the joint. The MCP joint is the joint between the metacarpal bones and the phalanges of the fingers, more commonly referred to as the knuckles. As seen in Fig. 1a, the metacarpal head fits into the base of the proximal phalange, and the two structures are held together by the transverse metacarpal ligaments. For the purpose of modelling, the ligaments and tendons are neglected and only the metacarpal head and the base of the proximal phalange are considered for the joint geometry."









@realDonaldTrump/Truth Social
Harris For President
Harris For President







Season 7 Nbc GIF by Brooklyn Nine-Nine
Mothers Day Mom GIF by Peloton
Mothers Day 90S GIF by Mattiel
Youre Wrong Red Flag GIF by The Vibe is Right
@ladynoirdeluoirdelu/X
@KevinOnStage/X
@KevinOnStage
@KevinOnStage
@KevinOnStage
@KevinOnStage
@KevinOnStage
@KevinOnStage



Roses Funeral GIF by Un si grand soleil






Shy GIF
